17.03.2026 Всероссийский пробник ОГЭ математика ответы и задания. Апробация ОГЭ тренировочное мероприятие разбор заданий с ответами и решениями.
Вариант 1 ответы
Прочитайте внимательно текст и выполните задания 1–5.

На рисунке изображён план двухкомнатной квартиры в многоэтажном жилом доме. Сторона одной клетки на плане соответствует 0,4 м, а условные обозначения двери и окна приведены в правой части рисунка.
Вход в квартиру находится в коридоре. Слева от входа в квартиру находится санузел, а в противоположном конце коридора — дверь в кладовую. Рядом с кладовой находится спальня, из которой можно пройти на одну из застеклённых лоджий. Самое большое по площади помещение — гостиная, откуда можно попасть в коридор и на кухню. Из кухни также можно попасть на застеклённую лоджию.
Задание 1. Для объектов, указанных в таблице, определите, какими цифрами они обозначены на плане. Заполните таблицу, в бланк перенесите последовательность четырёх цифр без пробелов, запятых и других дополнительных символов.

Ответ: 2476
Задание 2. Паркетная доска размером 20 см на 40 см продаётся в упаковках по 8 штук. Сколько упаковок паркетной доски понадобилось, чтобы выложить пол в коридоре?
Ответ: 30
Задание 3. Найдите площадь большей лоджии. Ответ дайте в квадратных метрах.
Ответ: 5,76
Задание 4. На сколько процентов площадь кухни больше площади лоджии, примыкающей к кухне?
Ответ; 200
Задание 5. В квартире планируется подключить интернет. Предполагается, что трафик составит 850 Мб в месяц, и исходя из этого выбирается наиболее дешёвый вариант. Интернет-провайдер предлагает три тарифных плана.

Сколько рублей нужно будет заплатить за интернет за месяц, если трафик действительно будет равен 850 Мб?
Ответ: 1000
Задание 6. Найдите значение выражения 1/2 — 9/10.
Задание 7. На координатной прямой отмечены точки A, B, C, D . Одна из них соответствует числу 96 . Какая это точка?

1) точка A
2) точка B
3) точка C
4) точка D
Скачать полные ответы
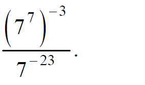
Задание 8. Найдите значение выражения

Задание 9. Найдите корень уравнения -5 + 2x = -2x — 3.
Скачать полные ответы
Задание 10. В магазине канцтоваров продаётся 120 ручек: 32 красных, 32 зелёных, 46 фиолетовых, остальные синие и чёрные, их поровну. Найдите вероятность того, что случайно выбранная в этом магазине ручка будет красной или фиолетовой.
Скачать полные ответы
Вариант 2 ответы
Прочитайте внимательно текст и выполните задания 1–5.

На рисунке изображён план двухкомнатной квартиры в многоэтажном жилом доме. Сторона одной клетки на плане соответствует 0,4 м, а условные обозначения двери и окна приведены в правой части рисунка.
Вход в квартиру находится в коридоре. Слева от входа в квартиру находится санузел, а в противоположном конце коридора — дверь в кладовую. Рядом с кладовой находится спальня, из которой можно пройти на одну из застеклённых лоджий. Самое большое по площади помещение — гостиная, откуда можно попасть в коридор и на кухню. Из кухни также можно попасть на застеклённую лоджию.
Задание 1. Для объектов, указанных в таблице, определите, какими цифрами они обозначены на плане. Заполните таблицу, в бланк перенесите последовательность четырёх цифр без пробелов, запятых и других дополнительных символов.

Ответ: 2347
Задание 2. Плитка для пола размером 40 см на 40 см продаётся в упаковках по 12 штук. Сколько упаковок плитки понадобилось, чтобы выложить пол на кухне?
Ответ: 8
Задание 3. Найдите площадь гостиной. Ответ дайте в квадратных метрах.
Ответ: 24,96
Задание 4. На сколько процентов площадь лоджии, примыкающей к кухне, больше площади кладовой?
Ответ: 100
Задание 5. В квартире планируется подключить интернет. Предполагается, что трафик составит 650 Мб в месяц, и исходя из этого выбирается наиболее дешёвый вариант. Интернет-провайдер предлагает три тарифных плана.

Сколько рублей нужно будет заплатить за интернет за месяц, если трафик действительно будет равен 650 Мб?
Ответ: 820
Задание 6. Найдите значение выражения 1/2 + 33/50
Скачать полные ответы
Задание 7. Между какими числами заключено число 67 ?
1) 8 и 9
2) 22 и 24
3) 4 и 5
4) 66 и 68
Скачать полные ответы
Задание 8. Найдите значение выражения

Задание 9. Найдите корень уравнения -2x — 7= -4x .
Скачать полные ответы
Задание 10. В магазине канцтоваров продаётся 132 ручки: 34 красных, 39 зелёных, 5 фиолетовых, остальные синие и чёрные, их поровну. Найдите вероятность того, что случайно выбранная в этом магазине ручка будет зелёной или чёрной.
Скачать полные ответы
Вариант 3 ответы
На рисунке изображён план двухкомнатной квартиры в многоэтажном жилом доме. Сторона одной клетки на плане соответствует 0,4 м, а условные обозначения двери и окна приведены в правой части рисунка.
Вход в квартиру находится в коридоре. Слева от входа в квартиру находится санузел, а в противоположном конце коридора — дверь в кладовую. Рядом с кладовой находится спальня, из которой можно пройти на одну из застеклённых лоджий. Самое большое по площади помещение — гостиная, откуда можно попасть в коридор и на кухню. Из кухни также можно попасть на застеклённую лоджию.
Задание 1. Для объектов, указанных в таблице, определите, какими цифрами они обозначены на плане. Заполните таблицу, в бланк перенесите последовательность четырёх цифр без пробелов, запятых и других дополнительных символов
Объекты: коридор | кладовая | кухня | гостиная
Ответ: 2476
Задание 2. Плитка для пола размером 40 см на 40 см продаётся в упаковках по 12 штук. Сколько упаковок плитки понадобилось, чтобы выложить пол на обеих лоджиях?
Ответ: 7
Задание 3. Найдите площадь кухни. Ответ дайте в квадратных метрах.
Ответ: 14,4
Задание 4. На сколько процентов площадь кухни больше площади санузла?
Ответ: 350
Задание 5. В квартире планируется подключить интернет. Предполагается, что трафик составит 700 МБ в месяц, и исходя из этого выбирается наиболее дешёвый вариант. Интернет-провайдер предлагает три тарифных плана.

Сколько рублей нужно будет заплатить за интернет за месяц, если трафик действительно будет равен 700 МБ?
Ответ: 820
Задание 6. Найдите значение выражения
Скачать полные ответы и задания
Задание 7. На координатной прямой отмечены точки A, B, C, D. Одна из них соответствует числу . Какая это точка?

Задание 8. Найдите значение выражения
Задание 9. Найдите корень уравнения
Скачать полные ответы и задания
Задание 10. В магазине канцтоваров продаётся 200 ручек: 23 красных, 9 зелёных, 8 фиолетовых, остальные синие и чёрные, их пор
Вариант 4 ответы
Прочитайте внимательно текст и выполните задания 1-5.
Хозяин дачного участка строит баню с парным отделением. Размеры парного отделения: длина 3,5 м, ширина 2 м, высота 2,1 м. Для разогрева парного помещения можно использовать электрическую или дровяную печь. Три возможных варианта даны в таблице.

Для установки дровяной печи дополнительных затрат не потребуется. Установка электрической печи потребует подведение специального кабеля, что обойдётся в 8000 руб. Кроме того, хозяин подсчитал, что за год электрическая печь израсходует 2400 киловатт-часов электроэнергии по 4
руб. за 1 киловатт-час, а дровяная печь за год израсходует 2 куб. м дров, которые обойдутся по 1600 руб. за 1 куб. м.
Задание 1. Найдите объём парного отделения строящейся бани (в куб. м).
Ответ: 14,7
Задание 2. На сколько рублей дровяная печь, подходящая по отапливаемому объёму
парного отделения, обойдётся дешевле электрической с учётом установки?
Ответ: 3000
Задание 3. На сколько рублей эксплуатация дровяной печи, которая подходит по
отапливаемому объёму парного отделения, обойдётся дешевле эксплуатации
электрической в течение года?
Ответ: 6400
Задание 4. Доставка печи из магазина до участка стоит 600 рублей. При покупке печи
ценой выше 20000 рублей магазин предлагает скидку 5% на товар и 40% на доставку. Сколько будет стоить покупка печи «Огонёк» вместе с доставкой на этих условиях?
Ответ: 20310
Задание 5. Хозяин выбрал дровяную печь. Чертёж печи показан на рис. 2. Размеры
указаны в см.

Печь снабжена кожухом вокруг дверцы топки. Верхняя часть кожуха выполнена в виде арки, приваренной к передней стенке по дуге окружности (см. рис.). Для установки печки хозяину понадобилось узнать радиус закругления арки 𝑅. Размеры кожуха показаны на рисунке. Найдите радиус в сантиметрах; ответ округлите до десятых.
Ответ: 21,3
Задание 6. Найдите значение выражения

Задание 7. Одно из чисел отмечено на прямой точкой.

Скачать полные ответы и задания
Задание 8. Найдите значение выражения

Задание 9. Решите уравнение
𝑥2 − 6𝑥 = 16.
Если уравнение имеет более одного корня, в ответ запишите меньший из корней.
Скачать полные ответы и задания
Вариант 5 ответы
Дима летом отдыхает у дедушки в деревне Васильевке. Во вторник они собираются съездить на велосипедах в село Плодородное на ярмарку. Из деревни Васильевки в село Плодородное можно проехать по прямой лесной дорожке. Есть более длинный путь: по прямолинейному шоссе через деревню Шарковку до деревни Рассвет, где нужно повернуть под прямым углом направо и дальше по шоссе, ведущее в село Плодородное. Есть и третий маршрут: в деревне Шарковка можно свернуть на прямую тропинку в село Плодородное, которая идёт мимо пруда.
Лесная дорожка и тропинка образуют с шоссе прямоугольные треугольники.

По шоссе Дима с дедушкой едут со скоростью 25 км/ч, а по лесной дорожке и тропинке — со скоростью 18 км/ч. На плане изображено расположение населённых пунктов, длина стороны каждой клетки — 3 км.
Задание 1. Пользуясь описанием, определите, какими цифрами на плане обозначены населённые пункты.
Заполните таблицу, в бланк ответов перенесите последовательность трёх цифр без пробелов, запятых и других дополнительных символов.
Насел. пункты: д. Шарковка | с. Плодородное | д. Васильевка
Ответ: 324
Задание 2. Сколько километров проедут Дима с дедушкой от деревни Шарковки до села Плодородного, если они поедут по шоссе через деревню Рассвет?
Ответ: 42
Задание 3. Найдите расстояние от деревни Васильевки до села Плодородного по прямой. Ответ дайте в километрах.
Ответ: 51
Задание 4. Сколько минут затратят на дорогу из деревни Васильевки в село Плодородное Дима с дедушкой, если они поедут по прямой лесной дорожке?
Ответ: 170
Задание 5. В таблице указана стоимость (в рублях) некоторых продуктов в четырёх магазинах, расположенных в деревне Васильевке, селе Плодородном, деревне Шарковке и деревне Рассвет.

Дима с дедушкой хотят купить 4 кг сыра «Российский», 5 кг говядины и 6 кг картофеля. В каком магазине такой набор продуктов будет стоить дешевле всего? В ответ запишите стоимость данного набора в этом магазине
Ответ: 7416
Задание 6. Найдите значение выражения
Скачать полные ответы и задания
Задание 7. Какому из данных промежутков принадлежит число ?
[0,5; 0,6]
[0,2; 0,3]
[0,3; 0,4]
[0,4; 0,5]
Скачать полные ответы и задания
Задание 8. Найдите значение выражения
Вариант 6 ответы
Прочитайте внимательно текст и выполните задания 1–5.

Автомобильное колесо, как правило, представляет из себя металлический диск с установленной на него резиновой шиной. Диаметр диска совпадает с диаметром внутреннего отверстия в шине.
Для маркировки автомобильных шин применяется единая система обозначений. Например, 195/65 R15 (рис. 1). Первое число (число 195 в приведённом примере) обозначает ширину шины в миллиметрах (параметр B на рисунке 2). Второе число (число 65 в приведённом примере) — процентное отношение высоты боковины (H на рисунке 2). Например, высота боковины шины 195/65 R15 равна 195⋅0,65=126,75мм.
Буква обозначает тип конструкции шины. В данном примере буква R означает, что шина радиальная, то есть нити каркаса в боковине шины расположены вдоль радиусов колеса. На всех легковых автомобилях применяются шины радиальной конструкции.
За обозначением типа конструкции шины идёт число, указывающее диаметр диска колеса d в дюймах (в одном дюйме 25,4 мм). Таким образом, общий диаметр колеса D легко найти, зная диаметр диска и высоту боковины.
Возможны дополнительные маркировки. Завод производит внедорожники определённой модели и устанавливает на них колеса с шинами маркировки 265/60 R18.
Задание 1. Завод допускает установку шин с другими маркировками. В таблице показаны разрешённые размеры шин:
| Ширина шины (мм) | Диаметр диска (дюймы) | Диаметр диска (дюймы) | Диаметр диска (дюймы) | Диаметр диска (дюймы) |
|---|---|---|---|---|
| 17 | 18 | 19 | 20 | |
| 245 | 245/70 | — | — | — |
| 255 | 255/70 | 255 | — | — |
| 265 | 265/65 | 265/60 | — | — |
| 275 | 275/65 | 275/60 | 275/55 | 275/50 |
| 285 | — | 285/60 | 285/55 | 285/50 |
Шины какой наибольшей ширины можно устанавливать на автомобиль, если диаметр диска равен 17 дюймов? Ответ дайте в миллиметрах.
Ответ: 275
Задание 2. Найдите высоту боковины шины колеса автомобиля, выходящего с завода. Ответ дайте в миллиметрах.
Ответ: 159
Задание 3. Найдите диаметр колеса автомобиля, выходящего с завода. Ответ дайте в миллиметрах.
Ответ: 775,2
Задание 4. На сколько миллиметров увеличится диаметр колеса, если заменить колёса, установленные на заводе, колёсами с шинами маркировки 285/50 R20?
Ответ: 17,8
Задание 5. На сколько процентов увеличится пробег автомобиля при одном обороте колеса, если заменить колёса, установленные на заводе, колёсами с шинами маркировки 285/50 R20? Результат округляйте до десятых.
Ответ: 2,3
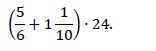
Задание 6. Найдите значение выражения (5/6+1 1/10)*24
Скачать полные ответы и задания
Задание 7. Какое из данных чисел принадлежит промежутку [5;6]?
Задание 8. Найдите значение выражения a^6*a^18:a^20 при a=2
Скачать полные ответы и задания
Задание 9. Решение уравнения 1/3x^2-27=0. Если уравнение имеет более одного корня, в ответе запишите меньший из корней.
Задание 10. Вероятность того, что новая шариковая ручка пишет плохо (или не пишет) равна 0,02. Покупатель в магазине выбирает одну шариковую ручку. Найдите вероятность того, что эта ручка пишет хорошо.
Скачать полные ответы и задания
Задание 11. На рисунках изображены графики функций вида y=ax2+bx+c. Установите соответствие между графиками функций и знаками коэффициентов a и c.

Задание 12. Мощность постоянного тока (в ваттах) вычисляется по формуле P=I2R, где I— сила тока (в амперах), R — сопротивление (в омах). Пользуясь этой формулой, найдите сопротивление R, если мощность составляет 96 Вт, а сила тока равна 4 А. Ответ дайте в омах.
Скачать полные ответы и задания
Вариант 7 ответы
Прочитайте внимательно текст и выполните задания 1–5.

Автомобильное колесо представляет собой металлический диск с установленной на него резиновой шиной. Диаметр диска совпадает с диаметром внутреннего отверстия шины.
Для маркировки автомобильных шин применяется единая система обозначений. Например, 195/65 R15 (рис. 1).
Первое число означает ширину шины в миллиметрах.
Второе число — высота боковины шины в процентах от ширины.
Третье число — диаметр диска в дюймах.
Например, шина с маркировкой 195/65 R15 имеет ширину B = 195 мм и высоту боковины H = 0,65 · 195 = 126,75 мм.
Буква R означает, что шина имеет радиальную конструкцию, то есть нити каркаса боковины шины расположены вдоль радиусов колеса. Такие шины применяются на всех легковых автомобилях.
За буквой R следует диаметр диска D в дюймах (в одном дюйме 25,4 мм).
Таким образом, общий диаметр колеса D можно найти, зная диаметр диска и высоту боковины.
Завод производит легковые автомобили определённой модели и устанавливает на них колёса с шинами 235/65 R17.
Задание 1. Завод допускает установку на автомобиль шин с различными маркировками. В таблице показаны разрешённые размеры шин.
Ширина шины (мм) | Диаметр диска (дюймы)
235 | 18 | 19
245 | 18 | 19
255 | 18 | 19
Шины какой наименьшей ширины можно устанавливать на автомобиль, если диаметр диска равен 19 дюймам? Ответ дайте в миллиметрах.
Ответ: 235
Задание 2. Сколько миллиметров составляет высота боковины шины, имеющей маркировку 220/60 R16?
Ответ: 132
Задание 3. На сколько миллиметров увеличится диаметр колеса, если заменить колёса, установленные на заводе, колёсами с шинами 255/50 R19?
Ответ: 0,3
Задание 4. Найдите диаметр колеса автомобиля, выходящего с завода. Ответ дайте в миллиметрах.
Ответ: 737
Задание 5. На сколько процентов увеличится пробег автомобиля при одном обороте колеса, если заменить колёса, установленные на заводе, колёсами с шинами 245/65 R17? Результат округлите до десятых.
Ответ: 1,8
Задание 6. Найдите значение выражения
Скачать полные ответы и задания
Задание 7. На координатной прямой отмечены точки x, y, z, t.
Какая из разностей отрицательная?
Скачать полные ответы и задания
ни одна из них
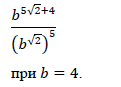
Задание 8. Найдите значение выражения
при и
Задание 9. Решите уравнение
Если уравнение имеет более одного корня, в ответ запишите меньший из корней.
Скачать полные ответы и задания
Задание 10. В фирме такси в данный момент свободно 30 машин: 3 чёрных, 9 жёлтых и 18 зелёных. По вызову выехала одна из машин, случайно оказавшаяся ближе всего к заказчику. Найдите вероятность того, что к нему приедет жёлтое такси.
Скачать полные ответы и задания