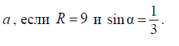
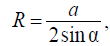
Тренировочная работа №4 математика 11 класс ответы и задания 17 марта 2026 г. - PRO VOSH

Тренировочная работа №4 математика 11 класс ответы и задания 17 марта 2026 г.

Вставить формулу как
Блок
Строка
Дополнительные настройки
Цвет формулы
Цвет текста
#333333
Используйте LaTeX для набора формулы
Предпросмотр
\({}\)
Формула не набрана
Вставить