Тренировочная работа №3 по математике 9 класс ответы и задания 23.01.2026. Пробное ОГЭ по Математике ответы и задания. Авторский разбор заданий с решениями и ответами от проекта провсош. Вариант МА2590301, МА2590302, МА2590303, МА2590304 ответы и задания.
Вариант МА2590301 ответы
Прочитайте внимательно текст и выполните задания 1–5.
Хозяин дачного участка строит баню с парным отделением. Парное отделение имеет следующие размеры: длина — 3,5 м, ширина — 2,2 м, высота —2 м. Окон в парном отделении нет, для доступа внутрь планируется дверь шириной 60 см, высота дверного проёма равна 1,8 м. Для прогрева
парного отделения можно использовать электрическую или дровяную печь. В таблице представлены характеристики трёх печей.

Для установки дровяной печи дополнительных затрат не потребуется. Установка электрической печи потребует подведения специального кабеля, что обойдётся в 6500 руб.
Задание 1. Установите соответствие между массами и номерами печей. Заполните таблицу, в бланк ответов перенесите последовательность трёх цифр без пробелов, запятых и других дополнительных символов.

Ответ: 312
Задание 2. Найдите площадь потолка парного отделения строящейся бани. Ответ дайте в квадратных метрах.
Ответ: 7,7
Задание 3. Во сколько рублей обойдётся покупка дровяной печи, подходящей по объёму парного отделения, с доставкой, если доставка печи до дачного участка будет стоить 1200 рублей?
Ответ: 20700
Задание 4. В прошлом году печи, указанные в таблице, стоили дороже. На них были сделаны скидки: на печь номер 1 скидка составила 10 %, на печь номер 2 — 35 %, на печь номер 3 —25 %.
Сколько рублей стоила печь номер 2 в прошлом году?
Ответ: 30000
Задание 5. Хозяин выбрал дровяную печь (рис. 1). Чертёж передней панели печи показан на рис. 2.

Печь снабжена кожухом вокруг дверцы топки. Верхняя часть кожуха выполнена в виде арки, приваренной к передней стенке печки по дуге окружности с центром в середине нижней части кожуха (рис. 2). Для установки печки хозяину понадобилось узнать радиус закругления арки R. Размеры кожуха в сантиметрах показаны на рисунке. Найдите радиус закругления арки в сантиметрах.
Ответ: 45
Задание 6. Найдите значение выражения 7,6 − 8⋅ (−5,2).
Скачать полные ответы и задания
Задание 7. На координатной прямой отмечены числа x , y и z .

Какая из разностей y − x , x − z , z − y отрицательна?
1) y − x 2) x − z 3) z − y 4) ни одна из них
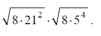
Задание 8. Найдите значение выражения

Задание 9. Найдите корень уравнения x − 2 = −3x .
Задание 10. Родительский комитет закупил 20 пазлов для подарков детям в связи с окончанием учебного года, из них 15 с машинами и 5 с видами городов. Подарки распределяются случайным образом между 20 детьми, среди которых есть Витя. Найдите вероятность того, что Вите достанется пазл с машиной.
Скачать полные ответы и задания
Задание 11. Установите соответствие между функциями и их графиками.

В таблице под каждой буквой укажите соответствующий номер.
Задание 12. Энергия заряженного конденсатора W (в Дж) вычисляется по формуле W = CU2 / 2 , где C — ёмкость конденсатора (в Ф), а U — разность потенциалов на обкладках конденсатора (в В). Найдите энергию конденсатора ёмкостью 10-4 Ф , если разность потенциалов на обкладках
конденсатора равна 22 В. Ответ дайте в джоулях.
Скачать полные ответы и задания

Вариант МА2590302 ответы
Прочитайте внимательно текст и выполните задания 1–5.
Хозяин дачного участка строит баню с парным отделением. Парное отделение имеет следующие размеры: длина — 3,5 м, ширина — 2,2 м, высота —2 м. Окон в парном отделении нет, для доступа внутрь планируется дверь шириной 60 см, высота дверного проёма равна 1,8 м. Для прогрева парного отделения можно использовать электрическую или дровяную печь. В таблице представлены характеристики трёх печей.

Для установки дровяной печи дополнительных затрат не потребуется. Установка электрической печи потребует подведения специального кабеля, что обойдётся в 6500 руб.
Задание 1. Установите соответствие между объёмами помещения и номерами печей, для которых данный объём является наибольшим для отопления помещений. Заполните таблицу, в бланк ответов перенесите последовательность трёх цифр без пробелов, запятых и других дополнительных символов.

Ответ: 132
Задание 2. Найдите суммарную площадь стен парного отделения строящейся бани (без площади двери). Ответ дайте в квадратных метрах.
Ответ: 21,72
Задание 3. Во сколько рублей обойдётся покупка электрической печи с установкой и доставкой, если доставка печи до дачного участка будет стоить 1000 рублей?
Ответ: 22500
Задание 4. На электрическую печь сделали скидку 15 %. Сколько рублей стала стоить печь?
Ответ: 12750
Задание 5. Хозяин выбрал дровяную печь (рис. 1). Чертёж передней панели печи показан на рис. 2.

Печь снабжена кожухом вокруг дверцы топки. Верхняя часть кожуха выполнена в виде арки, приваренной к передней стенке печки по дуге окружности с центром в середине нижней части кожуха (рис. 2). Для установки печки хозяину понадобилось узнать радиус закругления арки R. Размеры кожуха в сантиметрах показаны на рисунке. Найдите радиус закругления арки в сантиметрах.
Ответ: 48
Задание 6. Найдите значение выражения 5,3 − 9 ⋅ (−4,4).
Скачать полные ответы и задания
Задание 7. На координатной прямой отмечены числа a , b и c .

Какая из разностей b − a , c − b , c − a положительна?
1) b − a 2) c − b 3) c − a 4) ни одна из них
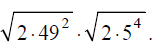
Задание 8. Найдите значение выражения

Задание 9. Найдите корень уравнения 6x +1= −4x .
Задание 10. Родительский комитет закупил 10 пазлов для подарков детям в связи с окончанием учебного года, из них 3 с машинами и 7 с видами городов. Подарки распределяются случайным образом между 10 детьми, среди которых есть Миша. Найдите вероятность того, что Мише достанется пазл с машиной.
Скачать полные ответы и задания
Задание 11. Установите соответствие между функциями и их графиками.

В таблице под каждой буквой укажите соответствующий номер.
Задание 12. Энергия заряженного конденсатора W (в Дж) вычисляется по формуле W = CU2/2 , где C — ёмкость конденсатора (в Ф), а U — разность потенциалов на обкладках конденсатора (в В). Найдите энергию конденсатора ёмкостью 10-4 Ф , если разность потенциалов на обкладках
конденсатора равна 14 В. Ответ дайте в джоулях.
Скачать полные ответы и задания

Вариант МА2590303 ответы
Прочитайте внимательно текст и выполните задания 1–5.
Хозяин дачного участка строит баню с парным отделением. Парное отделение имеет следующие размеры: длина — 3,5 м, ширина — 2,2 м, высота —2 м. Окон в парном отделении нет, для доступа внутрь планируется дверь шириной 60 см, высота дверного проёма равна 1,8 м. Для прогрева парного отделения можно использовать электрическую или дровяную печь. В таблице представлены характеристики трёх печей.

Для установки дровяной печи дополнительных затрат не потребуется. Установка электрической печи потребует подведения специального кабеля, что обойдётся в 6500 руб.
Задание 1. Установите соответствие между стоимостями и номерами печей. Заполните таблицу, в бланк ответов перенесите последовательность трёх цифр без пробелов, запятых и других дополнительных символов.

Ответ: 321
Задание 2. Найдите площадь пола парного отделения строящейся бани. Ответ дайте в квадратных метрах.
Ответ: 7,7
Задание 3. Во сколько рублей обойдётся покупка дровяной печи, подходящей по объёму парного отделения, с доставкой, если доставка печи до дачного участка будет стоить 1400 рублей?
Ответ: 20900
Задание 4. В прошлом году печи, указанные в таблице, стоили дороже. На них были сделаны скидки: на печь номер 1 скидка составила 10 %, на печь номер 2 — 35 %, на печь номер 3 —25 %.
Сколько рублей стоила печь номер 3 в прошлом году?
Ответ: 20000
Задание 5. Хозяин выбрал дровяную печь (рис. 1). Чертёж передней панели печи показан на рис. 2.

Печь снабжена кожухом вокруг дверцы топки. Верхняя часть кожуха выполнена в виде арки, приваренной к передней стенке печки по дуге окружности с центром в середине нижней части кожуха (рис. 2). Для установки печки хозяину понадобилось узнать радиус закругления арки R. Размеры кожуха в сантиметрах показаны на рисунке. Найдите радиус закругления арки в сантиметрах.
Ответ: 34
Задание 6. Найдите значение выражения −4 ⋅ (−6,2) − 8,4.
Скачать полные ответы и задания
Задание 7. На координатной прямой отмечены числа p , q и r .

Какая из разностей q − p , q − r , r − p отрицательна?
1) q − p 2) q − r 3) r − p 4) ни одна из них
Задание 8. Найдите значение выражения

Задание 9. Найдите корень уравнения x + 3 = −9x .
Задание 10. Родительский комитет закупил 10 пазлов для подарков детям в связи с окончанием учебного года, из них 2 с машинами и 8 с видами городов. Подарки распределяются случайным образом между 10 детьми, среди которых есть Андрюша. Найдите вероятность того, что Андрюше достанется пазл с машиной.
Скачать полные ответы и задания
Задание 11. Установите соответствие между функциями и их графиками.

В таблице под каждой буквой укажите соответствующий номер.
Скачать полные ответы и задания
Задание 12. Энергия заряженного конденсатора W (в Дж) вычисляется по формуле W = CU2/2 , где C — ёмкость конденсатора (в Ф), а U — разность потенциалов на обкладках конденсатора (в В). Найдите энергию конденсатора ёмкостью 10^-4Ф , если разность потенциалов на обкладках конденсатора равна 16 В. Ответ дайте в джоулях.

Вариант МА2590304 ответы
Прочитайте внимательно текст и выполните задания 1–5.
Хозяин дачного участка строит баню с парным отделением. Парное отделение имеет следующие размеры: длина — 3,5 м, ширина — 2,2 м, высота —2 м. Окон в парном отделении нет, для доступа внутрь планируется дверь шириной 60 см, высота дверного проёма равна 1,8 м. Для прогрева
парного отделения можно использовать электрическую или дровяную печь. В таблице представлены характеристики трёх печей.

Для установки дровяной печи дополнительных затрат не потребуется. Установка электрической печи потребует подведения специального кабеля, что обойдётся в 6500 руб.
Задание 1. Установите соответствие между объёмами помещения и номерами печей, для которых данный объём является наименьшим для отопления помещений. Заполните таблицу, в бланк ответов перенесите последовательность трёх цифр без пробелов, запятых и других дополнительных символов.

Ответ: 132
Задание 2. Найдите объём парного отделения строящейся бани. Ответ дайте в кубических метрах.
Ответ: 15,4
Задание 3. Во сколько рублей обойдётся покупка электрической печи с установкой и доставкой, если доставка печи до дачного участка будет стоить 800 рублей?
Ответ: 22300
Задание 4. На дровяную печь, масса которой 48 кг, сделали скидку 10 %. Сколько рублей стала стоить печь?
Ответ:17550
Задание 5. Хозяин выбрал дровяную печь (рис. 1). Чертёж передней панели печи показан на рис. 2.

Печь снабжена кожухом вокруг дверцы топки. Верхняя часть кожуха выполнена в виде арки, приваренной к передней стенке печки по дуге окружности с центром в середине нижней части кожуха (рис. 2). Для установки печки хозяину понадобилось узнать радиус закругления арки R. Размеры кожуха в сантиметрах показаны на рисунке. Найдите радиус закругления арки в сантиметрах.
Ответ: 51
Задание 6. Найдите значение выражения −3⋅ (−3,9) − 9,6 .
Скачать полные ответы и задания
Задание 7. На координатной прямой отмечены числа p , q и r .

Какая из разностей q − p , r − q , p − r отрицательна?
1) q − p 2) r − q 3) p − r 4) ни одна из них
Задание 8. Найдите значение выражения

Задание 9. Найдите корень уравнения 3x − 2 = −2x .
Задание 10. Родительский комитет закупил 20 пазлов для подарков детям в связи с окончанием учебного года, из них 11 с машинами и 9 с видами городов. Подарки распределяются случайным образом между 20 детьми, среди которых есть Илюша. Найдите вероятность того, что Илюше достанется пазл с машиной.
Скачать полные ответы и задания
Задание 11. Установите соответствие между функциями и их графиками.

В таблице под каждой буквой укажите соответствующий номер.
Скачать полные ответы и задания
Задание 12. Энергия заряженного конденсатора W (в Дж) вычисляется по формуле W = CU2/2 , где C — ёмкость конденсатора (в Ф), а U — разность потенциалов на обкладках конденсатора (в В). Найдите энергию конденсатора ёмкостью 10^-4Ф , если разность потенциалов на обкладках конденсатора равна 18 В. Ответ дайте в джоулях.
